欢迎来到彤盈生物

植酸钠

  • 价格:¥90
  • 编号:BWB51510
  • CAS号:14306-25-3
规格:
  • 25mg
基本信息 详细信息 相关产品
植酸钠基本信息
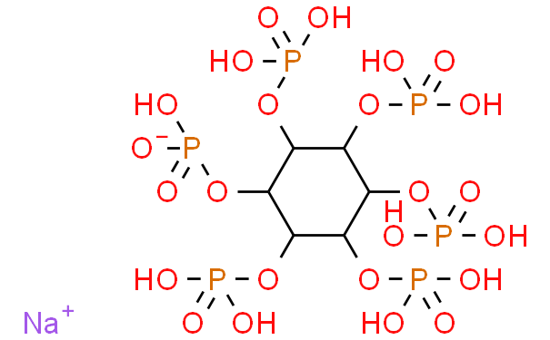
分子式 C6H6Na12O24P6
纯度 HPLC≥98%
别名 肌醇六磷酸钠
理化性质 植酸钠成白色吸湿性粉末状,易溶于水.广泛应用于医药,食品,日化,油漆涂料,印刷,冶金等行业领域.植酸钠为有机钠盐,白色吸湿性粉末,易溶于水,其水溶液具有较强的碱性.植酸钠既含有较多的钠离子,可以作为活性染料促染剂,又具有一定的碱性,可以作为活性染料固色剂。植酸/植酸钠广泛存在于谷类、豆类和油料作物等中,应用非常广泛,在食品工业上可用作食品抗氧化剂、抑菌剂、护色剂、螯合剂和保鲜剂等。植酸钠在一定条件下易发生水解,水解可生成肌醇五磷酸钠、肌醇四磷酸钠、肌醇三磷酸钠、肌醇二磷酸钠、肌醇磷酸钠和肌醇。其中肌醇三磷酸具有在动植物细胞内信号转导的作用;肌醇则具有抗癌、防止衰老的作用。植酸钠由于其较强的螯合能力,易于与钙、镁等金属离子结合Chemicalbook为螯合物,且所形成的络合物稳定性强,在食品、医药、日化等行业具有广泛的应用价值。应用植酸钠,又称肌醇六磷酸钠,英文名称:sodiumphytate,常温下为白色粉末,易溶于水。其母体植酸(肌醇六磷酸)是一种广泛存在于植物种子、谷物、胚芽和米糠中的有机磷酸化合物。植酸及其钠盐具有较强的金属螯合能力,是一种少见的金属多齿螯合剂。这是因为植酸及其钠盐的主要功能基团是六元环结构,有24个氧原子、12和羟基和6个磷酸基,当与金属相遇时,易形成多个螯合环,且所形成的络合物稳定性强。因此,植酸及其钠盐在食品、医药、日化等行业具有广泛的应用价值。
相关产品
热门产品