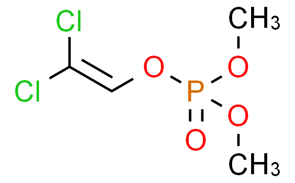
| 分子式 | C4H7Cl2O4P |
| 基质 | 甲醇 |
| 形态 | 液态 |
| 有效期 | 18个月 |
| 存储条件 | 冷冻(-18)℃、密闭及避光条件下保存。使用前应恒温至(20±3)℃,并充分摇动以保证均匀。本标准物质打开后应尽快使用,使用中严格防止沾污。 |
| 用途 | 本标准物质主要用于环境、食品等领域有机农药相应成分残留检测,实验室内部质量控制、分析仪器校准、分析方法确认评价等。 |
| 参考资料 | 农药残留检测质量控制手册。 |
| 别名 | 二氯松 |
| 理化性质 | 敌敌畏又名DDVP,学名O,O-二甲基-O-(2,2-二氯乙烯基)磷酸酯,有机磷杀虫剂的一种,分子式C4H7Cl2O4P。一种有机磷杀虫剂,工业产品均为无色至浅棕色液体,纯品沸点74℃(在133.322Pa下)挥发性大,室温下在水中溶解度1%,煤油中溶解度2%~3%,能溶于有机溶剂,易水解,遇碱分解更快。毒性大,急性毒性LD50值:对大白鼠经口为56~80mg/kg,经皮为75~210mg/kg。纯品为无色至琥珀色液体,微带芳香味。制剂为浅黄色至黄棕色油状液体,在水溶液中缓慢分解,遇碱分解加快,对热稳定,对铁有腐蚀性。对人畜中毒,对鱼类毒性较高,对蜜蜂剧毒。无色油状液体,有挥发性,用来防治棉蚜等农业害虫,也用来杀死蚊,蝇等。纯品为无色至琥珀色液体,有芳香味。相对密度1.42。沸点74℃(133.32Pa)。折光率1.4523。在室温下水中溶解度为10g/L。在煤油中溶解2~3g/kg。能与大多数有机溶剂和气溶胶剂混溶,对热稳定,但能水解。在碱性溶液中水解更快。对铁和软钢有腐蚀性。对不锈钢、铝、镍没有腐蚀性。80%敌敌畏乳油为浅黄色到黄棕色透明液体。50%敌敌畏为淡黄色油状液体。闪点75℃(加柴油),粘度1.86cP。20%敌敌畏塑料块缓释剂,薄块重为29~33g/块。 |
重铬酸钾滴定溶液标准物质
编号:GBW(E)082928 CAS号:7778-50-9 规格:500mL 浓度:0.25(氧化量浓度C( 1/6K2Cr2O7)(mol/L)(20?C))
蔗糖溶液标准物质5%;1ml
编号:GBW(E)100888 CAS号:57-50-1 规格:1mL 浓度:5%
乙腈中苯并(a)蒽溶液标准物质
编号:GBW08733 CAS号:218-01-9 规格:2mL 浓度:8.00μg/g
异辛烷中偶氮苯马拉硫磷标准物质
编号:GBW(E)130354 浓度:2组分
丙酮中敌瘟磷(克瘟散)溶液标准物质
编号:BWQ7480-2016 CAS号:17109-49-8 规格:1.2mL 浓度:1000μg/mL
丙酮中伏杀硫磷(伏杀磷)溶液标准物质
编号:BWN5017-2016 CAS号:2310-17-0 规格:1.2mL 浓度:100μg/mL