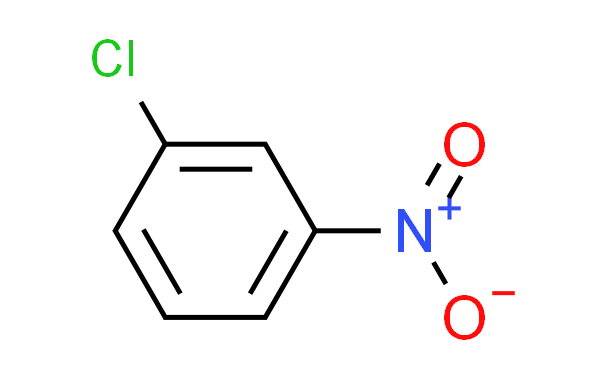
| 分子式 | C6H4ClNO2 |
| 基质 | 甲醇 |
| 形态 | 液态 |
| 有效期 | 18个月 |
| 存储条件 | 在冷藏(2-8℃)密闭及避光条件下保存。使用前应于室温(20±3℃)平衡,并充分摇动以保证均匀。安瓿瓶一经打开,应立即使用,不可再次熔封后作为标准物质使用,使用中严格防止沾污。 |
| 用途 | 本标准物质可作为工作标准,用于日常分析和检测;也可用于检测方法评价和仪器校准等实验室质量控制。 |
| 参考资料 | 农药残留检测质量控制手册。 |
| 别名 | 3-氯硝基苯;3-硝基氯苯;间氯硝基苯 |
| 理化性质 | 密度 1.4±0.1 g/cm3 沸点 236.0±0.0 °C at 760 mmHg 熔点 43-47 °C(lit.) 分子式 C6H4ClNO2 分子量 157.555 闪点 103.3±0.0 °C 精确质量 156.993057 PSA 45.82000 LogP 2.64 外观性状 潮湿的黄褐色的或淡黄色结晶固体 |
甲醇中1,2,3,5-四氯苯溶液标准物质
编号:BWQ7279-2016 CAS号:634-90-2 规格:2mL 浓度:1000μg/mL
二硫化碳中1,2,3-三氯苯溶液标准物质
编号:BWQ7829-2016 CAS号:87-61-6 规格:2mL 浓度:1000μg/mL
甲醇中1,2,3,4-四氯苯溶液标准物质
编号:BWQ7277-2016 CAS号:634-66-2 规格:2mL 浓度:1000μg/mL
二硫化碳中氯苯溶液标准物质
编号:BWQ7874-2016 CAS号:108-90-7 规格:2mL 浓度:1000μg/mL
甲醇中六氯苯溶液标准物质
编号:BWQ7885-2016 CAS号:118-74-1 规格:2mL 浓度:100μg/mL
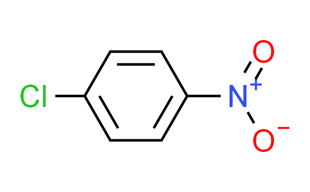
甲醇中对硝基氯苯溶液标准物质
编号:BWN5350-2016 CAS号:100-00-5 规格:2mL 浓度:1000μg/mL