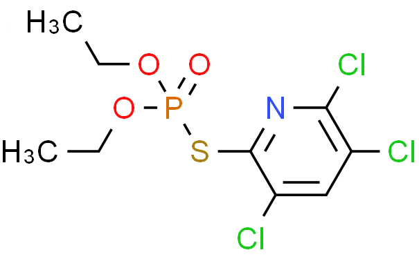
| 分子式 | C9H11Cl3NO3PS |
| 基质 | 胶体金 |
| 形态 | 固液共存 |
| 有效期 | 12个月 |
| 存储条件 | 产品保存于2~8℃冷藏避光干燥环境中。 |
| 用途 | 食品快检 |
| 参考资料 | T/CAICC 03-2021 蔬菜水果中毒死蜱的快速检测胶体金免疫层析法 |
水基颗粒计数标准物质
编号:GBW(E)120096 规格:250mL 浓度:3组分
免疫球蛋白(IgM)含量(免疫比浊法)试剂盒
编号:ADS-W-D037 规格:96样 浓度:微板法
磺胺类(试剂)快速检测试剂盒
编号:RZ021
水中甲醛速测盒
编号:ZW-S315 规格:约50次试剂用量
黄曲霉毒素B1酶联免疫测试盒
编号:MYT05148 规格:48孔板
亚硝酸盐速测盒
编号:32.1220 规格:100次/盒