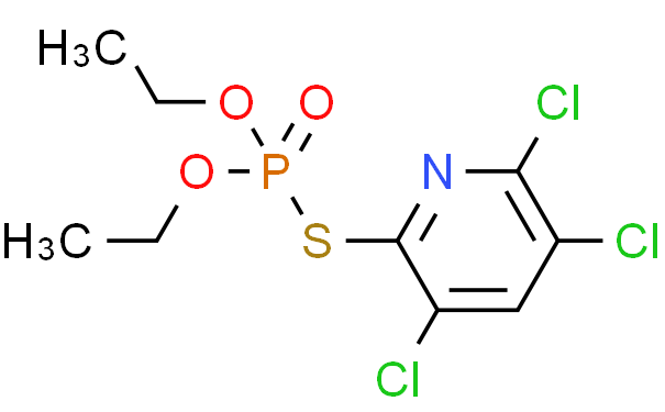
| 分子式 | C9H11Cl3NO3PS |
| 基质 | 纯品 |
| 形态 | 固态 |
| 有效期 | 24个月 |
| 存储条件 | 冷藏(4±4)℃避光干燥条件下保存。使用前,在P2O5干燥器中干燥48小时以上,以除去水分。本标准样品属于有毒有害物质,使用时应注意防护,避免吸入或与皮肤接触。样品开封后,应尽快恢复密封状态,在规定条件下保存。 |
| 用途 | 本标准样品主要用于环境、食品等领域相应农药成分残留检测,农药生产部门和检测实验室质量控制、分析仪器校准、分析方法确认评价等。 |
| 参考资料 | 农药残留检测质量控制手册。 |
| 别名 | ;氯蜱硫磷 |
| 理化性质 | 氯吡硫磷,又名毒死蜱、氯蜱硫磷,化学名为O,O-二乙基-O-(3,5,6-三氯-2-吡啶基)硫代磷酸,分子式为C9H11Cl3NO3PS,呈白色结晶,具有轻微的硫醇味,是一种非内吸性广谱杀虫、杀螨剂,在土地中挥发性较高。性状:白色结晶,具有轻微的硫醇味。水溶性:微溶于水,溶于大部分有机溶剂。 |
标样/水质SO2二氧化硫质控样
编号:NCSZ-SO2-2.0μg/mL CAS号:7440-25-7 规格:20ML 浓度:2.0μg/mL
丙酮中甲拌磷砜溶液标准物质
编号:BWN5019-2016 CAS号:2588-04-7 规格:1.2mL 浓度:100μg/mL
乙腈中内吸磷溶液
编号:1ST20114-100A CAS号:8065-48-3 规格:1mL 浓度:100μg/mL
甲醇中治螟磷溶液
编号:1ST20181-100M CAS号:3689-24-5 规格:1mL 浓度:100μg/mL
甲醇中乙基多杀菌素溶液
编号:1ST20448-1000M CAS号:187166-40-1 规格:1mL 浓度:1000μg/mL
盐酸拉贝洛尔溶液
编号:1ST000466A-100M CAS号:32780-64-6 规格:1mL 浓度:100μg/mL